Bio Medical & Circuit Simulation LAB
Photonic Crystal Fibre

Photonic Crystal Fibre (PCF) represents a groundbreaking advancement in optical fibre technology, characterized by its unique microstructured cladding composed of air holes running along the fibre length. This structure allows PCFs to exhibit exceptional optical properties, such as highly customizable dispersion, ultra-low attenuation, and the ability to guide light in both solid and hollow cores. PCFs are celebrated for their versatility in a wide range of applications, including high-power laser delivery, optical communications, biomedical imaging, and spectroscopy. The ability to tailor the fibre’s dispersion and nonlinearity makes them invaluable for supercontinuum generation and ultrafast laser systems.
1. Design of a Photonic Crystal Fiber (PCF) with Zero Flat Dispersion and Low Confinement Loss
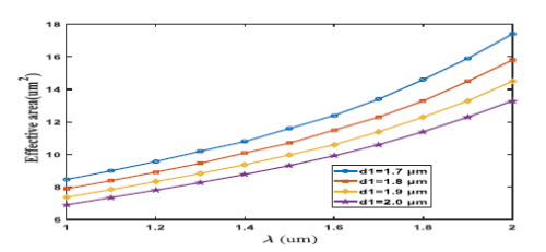
A hexagonal structured air holes ring at cladding region of PCF has been proposed. The core diameter is kept slightly greater than the air holes diameter for better performance. The proposed structure can perform wide range of wavelengths with nearly zero dispersion. Nearly zero dispersion can be obtained from 1400 nm to 1800 nm for different parameter set up with the same design. It is a suitable design for communication over wide area. The dispersion parameter varies from + 0.608 ps/km/nm to -0 085 ps/km/nm in the wavelength ranging from 1800 nm to 2000 nm. Again flatten dispersion occurs for hole diameter of 1.7 μm in the cladding region at a pitch of 2.60 μm.
The wavelength ranging from 1400 nm – 1600 nm and the dispersion parameter varies from +0.33 ps/km/nm to -0.72 ps/km/nm. Also, the designed PCF has low confinement loss and large effective area at the operating wavelength of 1.5 μm. The confinement loss of PCF with ethanol fills in 3 rings is 2.04×10^(-12) dB/m for pitch diameter of 2.56 μm and the hole diameter of 1.9 μm. For the same parameters, the confinement loss is 2.62×10^(-11) dB/m with (10% glucose+ water) solution.
Author – Safia Aktar Dipa